EGNN

1 简介

Pasted image 20241215154720.png|425

2 相关工作

Pasted image 20241215163848.png|650

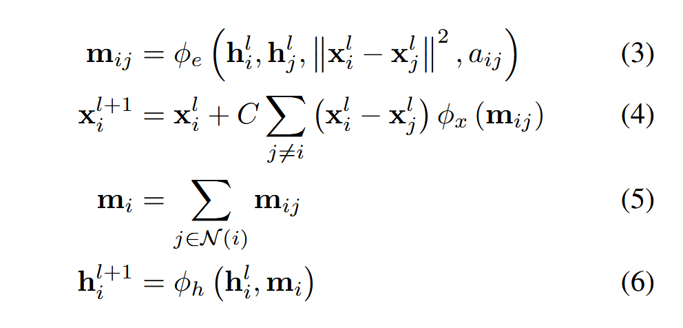
3 原理

本节解释 EGNN 的演变和数学证明
Pasted image 20241215164005.png|425
附:正交矩阵与旋转

3.1 等式 3

Pasted image 20241215185917.png

等式三的主要证明结果在于,考虑了原子之间的坐标二范数,就可以实现 E (3) 等变,但是前提是 h 本身(node feature)和变化矩阵 Q 的正交性(这是没问题的,因为 3 3 的正交 Q 表示旋转、平移等变换)

同时,ϕ 本身是否是等变的,这是一个有待商榷的问题
回答:不需要,这里证明的是对于全部的 3 D 输入而言,在 ϕ 之前,就已经实现了等变

3.2 等式 4

Pasted image 20241215190431.png

这一证明,表明原子间相对距离的消息传递是符合 E (3) 等变的。

4 代码实现

和代码描述基本一致,其中的 ϕ 以 MLP 形式表达;
其中还试图加入 atten (MLP),不知道想干啥;
EGNN

5 相关下游任务

  1. 粒子运动系统
  2. QM 9 的分子相关

6 相关数据集

QM 9

7 Reference